Αυτός ο περιεκτικός οδηγός παρέχει λεπτομερείς πίνακες βάρους για φλάντζες λαιμού συγκόλλησης AISI 321.
Ηνωμένα Έθνηκατανοώντας το Steel 321
Steel 321 (UNS S32100 / EN 1.4541)είναι ένας σταθεροποιημένος ωστενιτικός ανοξείδωτος χάλυβας από τιτάνιο-που έχει σχεδιαστεί για εφαρμογές που απαιτούν αντοχή στη διακοκκώδη διάβρωση μετά από θέρμανση εντός του εύρους καθίζησης καρβιδίου του χρωμίου από 800 βαθμούς F έως 1500 βαθμούς F (427 βαθμούς έως 816 μοίρες).

Η προσθήκη τιτανίου αποτρέπει την καθίζηση καρβιδίου του χρωμίου κατά τη διάρκεια της συγκόλλησης ή της συντήρησης σε υψηλή θερμοκρασία, καθιστώντας αυτόν τον βαθμό ιδιαίτερα κατάλληλο για φλάντζες που θα υποβληθούν σε θερμικό κύκλο.
Η πυκνότητα του Steel 321 είναι 8,0 g/cm³ (0,289 lb/in³), μια κρίσιμη τιμή που βασίζεται σε όλους τους υπολογισμούς βάρους.
Εισαγωγή φλάντζας λαιμού συγκόλλησης
Η φλάντζα λαιμού συγκόλλησης διακρίνεται μέσω μιας μακριάς, κωνικής πλήμνης που παρέχει ομαλή μετάβαση από φλάντζα σε σωλήνα. Αυτός ο σχεδιασμός έχει πολλά πλεονεκτήματα:
Κατανομή τάσεων: Η κωνική πλήμνη μεταδίδει σταδιακά μηχανικά φορτία από τον δακτύλιο της φλάντζας στο τοίχωμα του σωλήνα
Αντοχή στην κόπωση: Οι μειωμένες συγκεντρώσεις καταπόνησης καθιστούν αυτές τις φλάντζες ιδανικές για συνθήκες κυκλικής φόρτισης
Συνέχεια διάτρησης: Η οπή της φλάντζας ταιριάζει με την οπή του σωλήνα, ελαχιστοποιώντας τον στροβιλισμό και τη διάβρωση
Μη καταστροφική πρόσβαση σε δοκιμές: Η διαμόρφωση διευκολύνει την ακτινογραφική επιθεώρηση της άρθρωσης συγκόλλησης
Αυτά τα χαρακτηριστικά εξηγούν γιατί οι φλάντζες λαιμού συγκόλλησης καθορίζονται για εφαρμογές υψηλής-πίεσης, υψηλής-θερμοκρασίας και κρίσιμων σέρβις σε βιομηχανίες πετρελαίου και φυσικού αερίου, πετροχημικών, παραγωγής ηλεκτρικής ενέργειας και ναυτιλίας.
Πίνακες βάρους Steel 321 Weld Neck Flange
Οι παρακάτω πίνακες βάρους αντιπροσωπεύουν τις τυπικές διαστάσεις ASME B16.5 για φλάντζες λαιμού συγκόλλησης ASTM A182 F321 με ανυψωμένες όψεις. Τα βάρη είναι κατά προσέγγιση και βασίζονται στην πυκνότητα των 0,289 lb/in³.

Βάρη φλάντζας λαιμού συγκόλλησης Class 150 Steel 321
|
NPS |
Σωλήνα OD (σε) |
Φλάντζα OD (σε) |
Πάχος (σε) |
Μήκος Hub (in) |
Βάρος (lbs) |
|
½" |
0.84 |
3.50 |
0.44 |
2.00 |
1.0 |
|
¾" |
1.05 |
3.88 |
0.50 |
2.06 |
1.5 |
|
1" |
1.32 |
4.25 |
0.56 |
2.19 |
2.0 |
|
1¼" |
1.66 |
4.62 |
0.62 |
2.25 |
2.5 |
|
1½" |
1.90 |
5.00 |
0.69 |
2.38 |
3.0 |
|
2" |
2.38 |
6.00 |
0.75 |
2.50 |
4.5 |
|
2½" |
2.88 |
7.00 |
0.88 |
2.75 |
6.5 |
|
3" |
3.50 |
7.50 |
0.94 |
2.75 |
8.0 |
|
4" |
4.50 |
9.00 |
0.94 |
3.00 |
13.0 |
|
6" |
6.63 |
11.00 |
1.00 |
3.50 |
23.0 |
|
8" |
8.63 |
13.50 |
1.12 |
4.00 |
37.0 |
|
10" |
10.75 |
16.00 |
1.19 |
4.19 |
52.0 |
|
12" |
12.75 |
19.00 |
1.25 |
4.50 |
77.0 |
|
14" |
14.00 |
21.00 |
1.38 |
4.75 |
95.0 |
|
16" |
16.00 |
23.50 |
1.44 |
5.00 |
125.0 |
|
18" |
18.00 |
25.00 |
1.56 |
5.25 |
150.0 |
|
20" |
20.00 |
27.50 |
1.69 |
5.56 |
185.0 |
|
24" |
24.00 |
32.00 |
1.88 |
6.00 |
260.0 |
Βάρη Φλάντζας Τραβηγμένης Λαιμού Συγκολλημένης Ατσάλινης Κατηγορίας 300 321
|
NPS |
Φλάντζα OD (σε) |
Πάχος (σε) |
Βάρος (lbs) |
|
½" |
3.75 |
0.56 |
1.4 |
|
¾" |
4.62 |
0.62 |
2.0 |
|
1" |
4.88 |
0.69 |
2.7 |
|
1¼" |
5.25 |
0.75 |
3.5 |
|
1½" |
6.12 |
0.81 |
5.0 |
|
2" |
6.50 |
0.88 |
6.5 |
|
2½" |
7.50 |
1.00 |
10.0 |
|
3" |
8.25 |
1.06 |
13.0 |
|
4" |
10.00 |
1.12 |
21.0 |
|
6" |
12.50 |
1.25 |
35.0 |
|
8" |
15.00 |
1.38 |
55.0 |
|
10" |
17.50 |
1.50 |
80.0 |
|
12" |
20.50 |
1.62 |
115.0 |
|
14" |
23.00 |
1.75 |
145.0 |
|
16" |
25.50 |
1.88 |
185.0 |
|
18" |
28.00 |
2.00 |
235.0 |
|
20" |
30.50 |
2.12 |
290.0 |
|
24" |
36.00 |
2.38 |
405.0 |
EN 1092-1 PN 10 Χάλυβας 321 Στοιχειοθέτηση Φλάντζας Με Βάρη
|
DN |
OD σωλήνα (mm) |
Φλάντζα OD (mm) |
Πάχος (mm) |
Βάρος (kg) |
|
15 |
21.3 |
80 |
14 |
0.7 |
|
20 |
26.9 |
90 |
16 |
0.9 |
|
25 |
33.7 |
100 |
16 |
1.2 |
|
32 |
42.4 |
120 |
16 |
1.8 |
|
40 |
48.3 |
130 |
16 |
2.2 |
|
50 |
60.3 |
140 |
16 |
2.6 |
|
65 |
76.1 |
160 |
16 |
3.5 |
|
80 |
88.9 |
190 |
18 |
5.0 |
|
100 |
114.3 |
210 |
18 |
6.5 |
|
125 |
139.7 |
240 |
20 |
8.5 |
|
150 |
168.3 |
265 |
20 |
11.0 |
|
200 |
219.1 |
320 |
22 |
16.5 |
|
250 |
273.0 |
375 |
24 |
15.6 |
|
300 |
323.9 |
440 |
24 |
24.0 |
|
350 |
355.6 |
490 |
26 |
30.0 |
|
400 |
406.4 |
540 |
28 |
38.0 |
Σημείωση: Το βάρος DN250 PN10 των 15,6 kg επαληθεύεται από πολλαπλές πηγές προμηθευτών, επιδεικνύοντας συνέπεια μεταξύ των κατασκευαστών.
Στο απαιτητικό τοπίο της βιομηχανικής επεξεργασίας σε υψηλές{0}}θερμοκρασίες, η ακεραιότητα του υλικού είναι αδιαπραγμάτευτη. Ως ανώτερος διευθυντής προϊόντων που ειδικεύεται στον ανοξείδωτο χάλυβα και τα κράματα νικελίου, έχω δει από πρώτο χέρι πώς η επιλογή μιας φλάντζας μπορεί να υπαγορεύσει τη διάρκεια ζωής ενός συστήματος σωληνώσεων. Μεταξύ των διαφόρων ποιοτήτων και διαμορφώσεων, η φλάντζα Steel 321 Weld Neck Flange (WNF) ξεχωρίζει ως κρίσιμο εξάρτημα για εφαρμογές όπου ο θερμικός κύκλος και η διακοκκώδης διάβρωση είναι πρωταρχικά ζητήματα.
Αυτός ο οδηγός παρέχει ένα ολοκληρωμένο διάγραμμα βάρους και τεχνική ανάλυση των Steel 321 Weld Neck Flanges, που έχουν σχεδιαστεί για να βοηθούν μηχανικούς, ειδικούς προμηθειών και διαχειριστές έργων στον ακριβή σχεδιασμό του συστήματος και τον προγραμματισμό logistics.
Ιδιότητες ατσαλιού 321
Πριν προχωρήσετε στις προδιαγραφές βάρους, είναι ζωτικής σημασίας να κατανοήσετε τη σύνθεση του υλικού που δικαιολογεί τη χρήση του βαθμού 321. Ο χάλυβας 321 είναι ένας ωστενιτικός ανοξείδωτος χάλυβας-σταθεροποιημένος από τιτάνιο. Ενώ έχει πολλά κοινά χαρακτηριστικά με τον βαθμό 304, η προσθήκη τιτανίου (τουλάχιστον πέντε φορές την περιεκτικότητα σε άνθρακα) εξυπηρετεί έναν συγκεκριμένο σκοπό: εξαλείφει την κατακρήμνιση καρβιδίου του χρωμίου κατά τη συγκόλληση ή την έκθεση σε υψηλές θερμοκρασίες.

Χημική σύνθεση του χάλυβα 321
Η σταθερότητα αυτού του κράματος είναι αυτή που το καθιστά την προτιμώμενη επιλογή για πολλαπλές εξαγωγής, εναλλάκτες θερμότητας και εξαρτήματα δοχείων πίεσης.
|
Στοιχείο |
Περιεχόμενο (%) |
|
Άνθρακας (C) |
0,08 μέγ |
|
Μαγγάνιο (Mn) |
2,00 μέγ |
|
Πυρίτιο (Si) |
0,75 μέγ |
|
Φώσφορος (P) |
0,045 μέγ |
|
Θείο (S) |
0,030 μέγ |
|
Χρώμιο (Cr) |
17.0 – 19.0 |
|
Νικέλιο (Ni) |
9.0 – 12.0 |
|
Τιτάνιο (Ti) |
5×(C+N) ελάχ. 0,70 μέγ |
Φυσικές και Μηχανικές Ιδιότητες
Από μηχανική άποψη, το Steel 321 προσφέρει ανώτερες ιδιότητες ερπυσμού και θραύσης σε σύγκριση με τα 304 ή 304L.
Αντοχή εφελκυσμού: Μεγαλύτερη ή ίση με 515 MPa
Ισχύς απόδοσης (0,2% Μετατόπιση): Μεγαλύτερο ή ίσο με 205 MPa
Επιμήκυνση: Μεγαλύτερη ή ίση με 40%
Πυκνότητα: 7,92 g/cm3 (περίπου. 0.286 lb/in³)
Κατανόηση του σχεδίου φλάντζας λαιμού συγκόλλησης
Η φλάντζα λαιμού συγκόλλησης διακρίνεται από τη μακριά κωνική πλήμνη της, η οποία παρέχει μια σημαντική ενίσχυση για εφαρμογές που περιλαμβάνουν υψηλή πίεση, θερμοκρασίες υπό{0}}υπό το μηδέν ή αυξημένη θερμότητα. Η μετάβαση από το πάχος της φλάντζας στο πάχος του τοιχώματος του σωλήνα που παρέχεται από το κωνικό είναι εξαιρετικά ωφέλιμο υπό συνθήκες επαναλαμβανόμενης κάμψης, που προκαλείται από διαστολή γραμμής ή άλλες μεταβλητές δυνάμεις.
Η οπή της φλάντζας είναι κατεργασμένη ώστε να ταιριάζει με την εσωτερική διάμετρο του σωλήνα. Αυτό διασφαλίζει ότι δεν υπάρχει περιορισμός στη ροή του προϊόντος, αποτρέποντας τους στροβιλισμούς και μειώνοντας τη διάβρωση-στην άρθρωση.
Διάγραμμα βάρους Steel 321 Weld Neck Flange (ASME B16.5)
Οι παρακάτω πίνακες περιγράφουν τα εκτιμώμενα βάρη για φλάντζες λαιμού συγκόλλησης Steel 321 σε διάφορες κατηγορίες πίεσης. Λάβετε υπόψη ότι τα βάρη είναι κατά προσέγγιση και μπορεί να διαφέρουν ελαφρώς ανάλογα με τις ανοχές του συγκεκριμένου κατασκευαστή και το "Πρόγραμμα" (πάχος τοιχώματος) της οπής.
Φλάντζες λαιμού συγκόλλησης κατηγορίας 150
|
Ονομαστικό μέγεθος σωλήνα (NPS) |
Εξωτερική διάμετρος (σε) |
Βάρος (lb) |
Βάρος (kg) |
|
1/2" |
3.50 |
2.0 |
0.9 |
|
1" |
4.25 |
3.0 |
1.4 |
|
2" |
6.00 |
7.0 |
3.2 |
|
4" |
9.00 |
17.0 |
7.7 |
|
6" |
11.00 |
26.0 |
11.8 |
|
8" |
13.50 |
45.0 |
20.4 |
|
12" |
19.00 |
88.0 |
39.9 |
Φλάντζες λαιμού συγκόλλησης κατηγορίας 300
|
Ονομαστικό μέγεθος σωλήνα (NPS) |
Εξωτερική διάμετρος (σε) |
Βάρος (lb) |
Βάρος (kg) |
|
1/2" |
3.75 |
3.0 |
1.4 |
|
1" |
4.88 |
4.0 |
1.8 |
|
2" |
6.50 |
10.0 |
4.5 |
|
4" |
10.00 |
30.0 |
13.6 |
|
6" |
12.50 |
54.0 |
24.5 |
|
8" |
15.00 |
85.0 |
38.6 |
|
12" |
20.50 |
165.0 |
74.8 |
Φλάντζες λαιμού συγκόλλησης κατηγορίας 600
|
Ονομαστικό μέγεθος σωλήνα (NPS) |
Εξωτερική διάμετρος (σε) |
Βάρος (lb) |
Βάρος (kg) |
|
1/2" |
3.75 |
4.0 |
1.8 |
|
1" |
4.88 |
8.0 |
3.6 |
|
2" |
6.50 |
15.0 |
6.8 |
|
4" |
10.75 |
49.0 |
22.2 |
|
6" |
14.00 |
105.0 |
47.6 |
|
8" |
16.50 |
165.0 |
74.8 |
|
12" |
22.00 |
325.0 |
147.4 |
Σημείωση: Τα βάρη που παρέχονται είναι για τις τυπικές οπές του προγράμματος 40 για την Κλάση 150/300 και για το Πρόγραμμα 80 για την Κλάση 600. Για βαρύτερα δρομολόγια (π.χ. Sch 160 ή XXS), το βάρος θα αυξηθεί λόγω της προστιθέμενης μάζας στην πλήμνη και το λαιμό.
Πώς να υπολογίσετεΧάλυβας 321Βάρος φλάντζας?
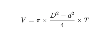
Ενώ τα γραφήματα είναι βολικά, οι προσαρμοσμένες απαιτήσεις απαιτούν συχνά χειροκίνητους υπολογισμούς. Το βάρος μιας φλάντζας λαιμού συγκόλλησης μπορεί να εκτιμηθεί χωρίζοντας την σε δύο γεωμετρικούς όγκους: τον δίσκο (σώμα φλάντζας) και την πλήμνη (κωνικός λαιμός).
Ο γενικός τύπος για την ένταση του δίσκου είναι:

Οπου:
D=Εξωτερική διάμετρος
d=Εσωτερική διάμετρος (διάτρηση)
T=Πάχος
Κατά τον υπολογισμό για το Steel 321, εφαρμόζουμε την πυκνότητα 7.920 kg/m³. Ωστόσο, λόγω της πολύπλοκης γεωμετρίας του κωνικού κόμβου, συνιστούμε τη χρήση των ιδιόκτητων αριθμομηχανών του εργοστασίου μας για ακριβείς απαιτήσεις δομικής μηχανικής.
Πώς να χρησιμοποιήσετε το διάγραμμα βάρους
Προσθέστε βάρος φλάντζας σε σωλήνα, βαλβίδες και στηρίγματα για ακριβείς υπολογισμούς νεκρού φορτίου-. Κατά τη μεταφορά, πολλαπλασιάστε με την ποσότητα συν τη συσκευασία για να προσδιορίσετε το ωφέλιμο φορτίο του εμπορευματοκιβωτίου. Για την εκτίμηση του κόστους, τα βάρη μας επιτρέπουν ακριβή προϋπολογισμό υλικών και φορτίου. Επαληθεύετε πάντα το ακριβές ανυψωμένο- ύψος προσώπου και το πρόγραμμα διάτρησης (STD, XS, κ.λπ.) κατά την παραγγελία.
Γιατί να επιλέξετε τις φλάντζες λαιμού συγκόλλησης από χάλυβα 321 του εργοστασίου μας
Οι πελάτες επιστρέφουν σε εμάς επειδή κάθε φλάντζα φέρει πλήρη πιστοποίηση υλικού, αναφορές διαστάσεων και αρχεία υδροστατικών δοκιμών (όταν καθορίζεται).
Η ομάδα παραγωγής μας έχει κατά μέσο όρο πάνω από 15 χρόνια εμπειρίας με σταθεροποιημένες ποιότητες τιτανίου-.
Διατηρούμε-εσωτερική φασματογραφική ανάλυση και θετική ταυτοποίηση υλικού (PMI) για να εγγυηθούμε τη χημεία.
Οι χρόνοι παράδοσης είναι αξιόπιστοι, η συσκευασία είναι έτοιμη για-εξαγωγή και η τεχνική υποστήριξη είναι διαθέσιμη όλο το 24ωρο, 7 ημέρες την εβδομάδα για την επιλογή φλάντζας ή την πιστοποίηση της διαδικασίας συγκόλλησης.
